227 kB; PNG Bild
THE MAY 50K call to action mit QR-Code.
308 kB; PNG Bild
THE MAY50K call to action.
213 kB; Jpeg Bild
Bundesgeschäftsführer Herbert Temmes freut sich über die zahlreiche Beteiligung bei der Benefiz- und Bewegungsaktion THE MAY 50K.
967 kB; PNG Bild
Haupt- und ehrenamtliche Mitarbeitende der DMSG werben für die Aktion THE MAY 50K.
284 kB; Jpeg Bild
Der an MS erkrankte Janis und seine Frau Mareike haben das Motto zum Welt-MS-Tag aufgrund eigener Erfahrungen im Familienleben mit MS vorgeschlagen.
128 kB; Jpeg Bild
Das Logo zum Welt-MS-Tag 2026
2 MB; Jpeg Bild
Der Welt-MS-Tag ruft MS-Erkrankte und Angehörige dazu auf, über ihre Erfahrungen im Leben mit MS zu berichten. Wie Sabrina, die als alleinerziehende Mutter "jetzt erst recht" in Alltag und Beruf aktiv ist.
1 MB; PNG Bild
Weltfrauentag 2026 und MS (KI generiert)
346 kB; PNG Bild
Mehr Infos zu den DMSG-Stipendien auf der Website der DMSG.
302 kB; PNG Bild
Die neue Übung Spatzenfütterung stärkt die kognitive Flexibilität und die Hand-Augen-Koordination.
3 MB; Jpeg Bild
Prof. Dr. med. Manuel A. Friese – Preisträger des Barancik-Preis 2025 für Innovation in der MS-Forschung.
182 kB; PNG Bild
ASV-MS
15 kB; Jpeg Bild
DMSG-Funktionstraining
7 kB; Jpeg Bild
107 kB; PNG Bild
8 MB; Jpeg Bild
Christian Wulff und Professor Dr. med. Ralf Gold, Bild: Martin Rohrmann
1 MB; Jpeg Bild
Mit Blick nach vorn: Barrierefreiheit im Gesundheitswesen darf kein Zukunftsversprechen bleiben.
56 kB; Jpeg Bild
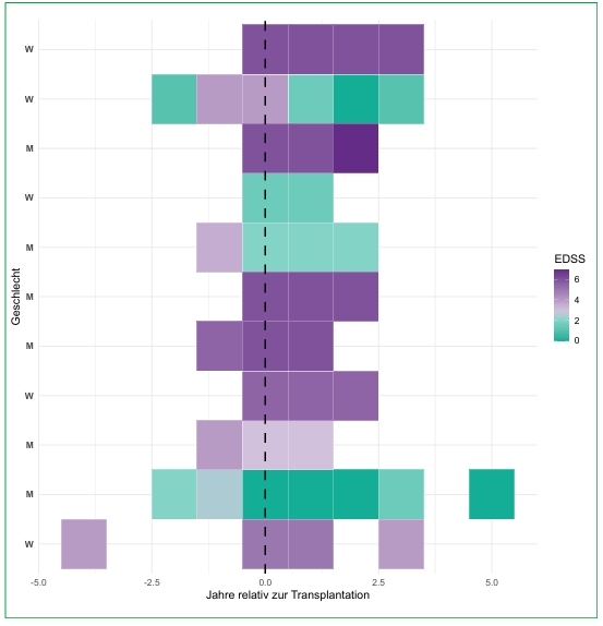
Abbildung 3: Verlauf des Behinderungsgrads anhand des EDSS-Wertes bei MS-Erkrankten relativ zur aHSZT. Die vertikale schwarze Linie (Jahr 0) markiert den Zeitpunkt der Transplantation. Das Geschlecht der MS- Erkrankten wird als (M = männlich, W = weiblich) dargestellt. Die Balken zeigen die Entwicklung des EDSS-Wertes über die Jahre vor und nach Transplantation. Negative Werte zeigen die Zeit vor der Transplantation, positives Werte die Zeit danach. Die Farbcodierung spiegelt die Höhe des EDSS-W
67 kB; Jpeg Bild
Abbildung 2: Krankheitsdauer (in Jahren) von Beginn der MS-Symptomatik bis zur Durchführung einer aHSZT. Jeder Punkt stellt einen MS-Erkrankten dar und ist nach aufsteigender Krankheitsdauer sortiert. Die mittlere und mediane Krankheitsdauer bis zur Transplantation ist zusätzlich durch gestrichelte Linien gekennzeichnet.
97 kB; Jpeg Bild
Abbildung 1: Klinische Merkmale im Gruppenvergleich zwischen Patienten mit und ohne aHSZT zum Zeitpunkt der letzten Visite. Angegeben sind die prozentualen Anteile innerhalb der jeweiligen Gruppe. Die Linien hinter den Balken zeigen das obere 95% Clopper Pearson Intervall als Maß der statistischen Sicherheit.
58 kB; PNG Bild
Logo des vdek-Zukunftspreises 2025
429 kB; PNG Bild
MS-Vita-Logo
83 kB; PNG Bild
QR-Code: direkter Zugang zum Fragebogen
106 kB; Jpeg Bild
Abbildung 1: Darstellung der mittleren Zeit bis zur Diagnose bei MS-Erkrankten im MS-Register über die letzten 11 Kalenderjahre.
Stellungnahme zum Exopulse Mollii Suit 2025
95 kB; Jpeg Bild
Bewerbungen für die Forschungsförderung 2025 können ab sofort eingereicht werden.
70 kB; Jpeg Bild
Forscherin im Labor
442 kB; PNG Bild
Am 31. Mai ist Weltnichtrauchertag
119 kB; PNG Bild
TAUSEND GESICHTER und Deins:Leben mit Multipler Sklerose lautet das Motto des 17. Welt-MS-Tags
668 kB; PNG Bild
Julia, Mutter don drei kleinen Kindern, ist eines der tausend Gescichter mit MS.
130 kB; PNG Bild
Inklusion statt Illusion – auch unsichtbare Symptome der Multiple Sklerose im Fokus
167 kB; Jpeg Bild
Herbert Temmes, DMSG-Bundesgeschäftsführer
10 MB; TIFF Bild
Weltgesundheitstag 2025
Tausend Gesuchter und Deins: Die Diagnose MS kann jeden treffen. Die DMSG beantwortet Fragen
218 kB; Jpeg Bild
Tausend Gesichter der MS: Welche Frage haben Sie?
Das Logo zum Welt-MS-Tag 2025
103 kB; Jpeg Bild
Neue Ausgabe der DMSG-Mitgliederzeitschrift Aktiv! 1/2025
54 kB; PNG Bild
Registrierungen für THE MAY50k jetzt möglich
310 kB; PNG Bild
Bild zum Weltfrauentag 2025
25 kB; Jpeg Bild
Myelinscheide Nervenzelle
22 kB; Jpeg Bild
Professor Dr. med. Ralf Gold, Vorsitzender des Ärztlichen Beirates, DMSG Bundesverband e.V.
Professor Dr. med. Luisa Klotz
677 kB; PNG Bild
Cover des Forderungspapiers der DMSG
789 kB; PNG Bild
Titelblatt der Mitgliederzeitschrift aktiv! des DMSG-Bundesverbandes, Augabe 4.2024.
66 kB; PNG Bild
Abbildung 3: Häufigkeit der Verwendung einzelner Hilfsmittel unterteilt nach Altersgruppen. Die farblichen Säulen stellendie jeweilige Hilfsmittelkategorie dar. Die Verwendung des Hilfsmittels bezieht sich auf den gesamten Krankheitsverlauf und muss nicht zwangsläufig zum Zeitpunkt der letzten Visite erfolgt sein. Mehrfachnennungen pro MS-Erkrankten sind möglich.
324 kB; Jpeg Bild
Peer Baneke, CEO der MSIF, folgt der Würdigung der MSIF durch Bundespräsident a.D. und Schirmherr der DMSG, Christian Wulff.
Markus van de Loo, stellvertretender Vorsitzender des Bundesbeirates MS-Erkrankter der Deutschen Multiple Sklerose Gesellschaft (DMSG)
481 kB; PNG Bild
Abbildung 1: Vergleich der Sativex-Nutzer (N=359, ohne off-label) und derer, die keine Cannabis-Produkte nutzen (N=29.563) hinsichtlich Demografie, Verlaufsform und Symptomatik bei der letzten dokumentierten Visite im MS-Register. MS – Multiple Sklerose; PPMS – Primär progrediente MS; RRMS – Schubförmig remittierende MS; SPMS – Sekundär progrediente MS; (*) – p-Wert ≤ 0,05.
67 kB; PNG Bild
Menschlichkeit und Vielfalt zählen.
16 kB; PNG Bild
QR-Code zum EMSP-Manifest
10 MB; Jpeg Bild
Der Regisseur Maik Lüdemann informiert Hauptdarstellerin Anika Schreiber vor dem Dreh der nächsten Szene.
509 kB; Jpeg Bild
Bei der Premiere des Social-Spots bedanken sich DMSG-Schirmherr Christian Wulff (von links) und die Vorsitzende des DMSG-Bundesverbandes Prof. Dr. Judith Haas bei der Hauptdarstellerin Anika Schreiber und dem Regisseur Maik Lüdemann.
517 kB; Jpeg Bild
584 kB; Jpeg Bild
Hauptdarstellerin wird auf dem Weg zur Diagnose gefilmt
34 kB; PNG Bild
Der Welt-MS-Tag lädt zum 16. Mal zum Mitmachen ein.
660 kB; PNG Bild
In den kommenden Wochen lenkt die DMSG mit vielen Aktionen den Fokus auf die Anliegen von Menschen mit MS
61 kB; PNG Bild
THE MAY 50K
80 kB; PNG Bild
Übersicht über den Anteil von Frauen bei den verschiedenen Verlaufsformen der Multiplen Sklerose
9 kB; Jpeg Bild
DMSG Schulassistenz
Generika und Biosimilars werden auch als Nachahmerpräparate von bereit zugelassenen Medikamenten bezeichnet.
31 kB; PNG Bild
Abbildung 2: Prozentuale Häufigkeiten der Unterkategorien der Symptome Blasenfunktions- und Bewegungsstörungen. Die farblichen Balken stellen den jeweiligen Anteil der angewendeten Therapieformen dar.
106 kB; PNG Bild
Abbildung 1: Vergleich der MS-Symptomatik vor und nach der Überarbeitung in der Forschungsdatenbank des MS-Registers. Die Prozentwerte geben den Anteil an, bei denen das jeweilige Symptom vorhanden war. Die farblichen Balken stellen den jeweiligen Anteil der angewendeten Therapieformen dar.
7 kB; PNG Bild
Logo von MS Kognition
795 kB; PNG Bild
Abbildung 3: Häufigkeit der Kontrastmittelgabe bei MRT-Untersuchungen unterteilt nach Art/Lokalisation der Untersuchung und der Erkrankungsdauer. Die Kurven wurden mit generalisierten additiven Modellen geschätzt und die schattierten Flächen repräsentieren die zugehörigen 95 Prozent-Konfidenzintervalle.
737 kB; PNG Bild
Abbildung 2: Häufigkeit der Kontrastmittelgabe bei MRT-Untersuchungen unterteilt nach Art/Lokalisation der Untersuchung und Kalenderjahr. Die Daten zeigen die prozentuale Verteilung der MRT-Visiten mit Kontrastmittelgabe für kraniale, spinale und kombinierte Untersuchungen von 2020 bis 2023.
577 kB; PNG Bild
Abbildung 1: Venn-Diagramm der MRT-Untersuchungen seit 1. Januar 2020 nach Typ: kranial vs. spinal getrennt nach mit vs. ohne Kontrastmittelgabe. *Es gab 24 MRT-Untersuchungen bei denen sowohl ein kraniales als auch ein spinales MRT erfolgte, aber nur bei einem Typ MRT Kontrastmittel verwendet wurde (ggf. wurde das Kontrastmittel zwischen den MRTs gegeben). Diese seltenen Fälle wurden aus den weiteren Analysen ausgeschlossen.
477 kB; Jpeg Bild
Dr. Stephanie Woschek, Referentin für inklusiven Sport, DMSG-Bundesverband e.V., Ansprechpartnerin
419 kB; Jpeg Bild
Herbert Temmes, Geschäftsführer DMSG Bundesverband e.V.
1011 kB; Jpeg Bild
Prof. Dr. med. Judith Haas, DMSG-Vorsitzende
30 kB; PNG Bild
DMSG, Bundesverband e.V.
17 kB; PNG Bild
5 MB; Jpeg Bild
Broschüre Patientenrechte für MS-Erkrankte
277 kB; Jpeg Bild
"Voll im Leben mit MS" lautet das Motto zum welt-MS-Tag 2022
39 kB; PNG Bild
Das Herz ist das internationale Symbol des Welt-MS-Tages 2020
Das Logo zum Welt-MS-Tag 2020
869 kB; Jpeg Bild
Hashtag Miteinander Stark
12 MB; TIFF Bild
Cover.Broschüre Schmerzen bei Multipler Sklerose
518 kB; Jpeg Bild
Cover des Patientenhandbuches zu Ocrelizumab
505 kB; Jpeg Bild
Cover des Patientenhandbuches zu Natalizumab
345 kB; Jpeg Bild
Logo zum Welt-MS-Tag 2019
7 MB; Jpeg Bild
Eines der Werke von Linda Baum
275 kB; Jpeg Bild
Die Künstlerin Linda Baum beim Malen
8 kB; Jpeg Bild
Motto zum Welt MS Tag 2019
6 MB; Jpeg Bild
Motiv2 der Kampagne zum Welt MS Tag 2019. Querformat
4 MB; Jpeg Bild
Motiv2 der Kampagne zum Welt MS Tag 2019. Hochformat
Motiv der Kampagne zum Welt MS Tag 2019. Hochformat
Motiv der Kampagne zum Welt MS Tag 32019
Logo MS Connect
480 kB; Jpeg Bild
Bild: MS Connect
2 MB; PNG Bild
468 kB; Jpeg Bild
Cover Teriflunomid
366 kB; Jpeg Bild
Cover Dimethylfumarat
392 kB; Jpeg Bild
Cover Cladribin
162 kB; Jpeg Bild
Cover Alemtuzumab
Plakat Welt MS Tag
Cover
Postkarte
798 kB; Jpeg Bild
Janine und Regisseur Olli Boehm
909 kB; Jpeg Bild
Karussell von Otto Wendler
764 kB; Jpeg Bild
Kim und Kevin bei den Dreharbeiten
Dreh Chris, Janine
115 kB; Jpeg Bild
Bild SimpleShow (Erklärfilme). Copyright: DMSG-Bundesverband
Cover Mein erwachsenes Kind hat MS
- Dr. med. vet. Mehrnoosh Jafari und - Prof. Dr. med. Martin Kerschensteiner
- Prof. Dr. med. Christine Stadelmann-Nessler
649 kB; Jpeg Bild
Bild Prof. Dr. med. Wolfgang Brück
Bild Cover
Filmplakat
Cover Broschüre Die unsichtbaren Symptome der MS
10 kB; Jpeg Bild
Bild Webqualität
Bild Fatigue-Broschüre
11 kB; Jpeg Bild
Cover Papa hat MS
Bild neuer Bundesvorstand der DMSG
Bild Susanne Schönemeier
445 kB; Jpeg Bild
Bild Dorothea Pitschnau-Michel
Cover Broschüre Home Fitness
206 kB; Jpeg Bild
DMSG-App MS Kognition
Cover Broschüre Symptomatische Therapie
12 MB; Jpeg Bild
Plakat Welt MS Tag 2015
Bild DMSG-InfoGuide
Cover "Multiple Sklerose. Ein Leitfaden" (Copyright AMSEL)
38 kB; Jpeg Bild
Übung Fischfang
3 MB; TIFF Bild
Kognitionstool
430 kB; Jpeg Bild
Prof. Dr. Marco Prinz (links) mit Staatssekretär Jürgen Walter vom baden-württembergischen Ministerium für Wissenschaft, Forschung und Kunst
424 kB; Jpeg Bild
Nachwuchspreisträger Dr. Stefan Bittner (links) mit Prof. Dr. Klaus V. Toyka
Cover der Broschüre
35 kB; Jpeg Bild
585 kB; Jpeg Bild
Flyer
Willkommen in der Virtuellen MS-Klinik
Cover_MS und Sport
13 kB; Jpeg Bild
Internettool
Gleiche Chancen trotz MS
530 kB; Jpeg Bild
weltMStag 2014
242 kB; Jpeg Bild
Tor zum MS Summer Camp
InfoGuide 2014/15
Regionspräsident Hauke Jagau überreicht DMSG-Bundesgeschäftsführerin Dorothea Pitschnau-Michel die Urkunde zum Bundesverdienstkreuz
Virtuelle MS-Klinik
2 MB; Datei
Prof. Dr. med. Klaus V. Toyka mit PD Dr. med. Francesca Obo...
1019 kB; Datei
Ministerialdirektorin Dr. Simone Schwanitz und Prof. Dr. med. ...
Blasen- und Darmstörungen bei MS
Mein Arzt und ich
513 kB; Jpeg Bild
Welt MS Tag
Mein Mitarbeiter hat MS
173 kB; Jpeg Bild
MS World Conference
Aquasport und -therapie
InfoGuide 2013/14
Risiken erkennen und meistern
Broschüre "Gerätetraining und Klettern"
318 kB; Jpeg Bild
Welt MS Tag 2012
60 kB; PNG Bild
icon app store
217 kB; Jpeg Bild
InfoGuide
319 kB; Jpeg Bild
MS erforschen: Ein neues Medikament entsteht
267 kB; Jpeg Bild
Broschüre_1000 Gesichter
595 kB; Jpeg Bild
575 kB; Jpeg Bild